Pembahasan mengenai contoh soal nilai mutlak beserta jawabannya. Sementara itu nilai mutlak merupakan bilangan riil tanpa tanda plus ataupun minus. Tentukan nilai x yang memenuhi persamaan nilai . Nilai mutlak adalah suatu bilangan dengan nilai yang.✓ berikut rumus dan contoh soal persamaan dan pertidaksamaan mutlak + pembahasannya. Sebagai contoh, nilai absolut dari angka 3 adalah 3.
Pembahasan mengenai contoh soal nilai mutlak beserta jawabannya.
Sementara itu nilai mutlak merupakan bilangan riil tanpa tanda plus ataupun minus. Nilai mutlak adalah suatu bilangan dengan nilai yang.✓ berikut rumus dan contoh soal persamaan dan pertidaksamaan mutlak + pembahasannya. Tentukan nilai x yang memenuhi persamaan nilai . Sebagai contoh, nilai absolut dari angka 3 adalah 3. Yuk pelajari persamaan nilai mutlak . Untuk lebih memahami konsep nilai mutlak dengan mendalam mari simak contoh soal berikut: Nilai mutlak merupakan nilai suatu bilangan riil tanpa memperhatikan arahnya dalam garis bilangan. Pembahasan mengenai contoh soal nilai mutlak beserta jawabannya.
Untuk lebih memahami konsep nilai mutlak dengan mendalam mari simak contoh soal berikut: Pembahasan mengenai contoh soal nilai mutlak beserta jawabannya. Nilai mutlak merupakan nilai suatu bilangan riil tanpa memperhatikan arahnya dalam garis bilangan. Nilai mutlak adalah suatu bilangan dengan nilai yang.✓ berikut rumus dan contoh soal persamaan dan pertidaksamaan mutlak + pembahasannya. Sebagai contoh, nilai absolut dari angka 3 adalah 3.
Tentukan nilai x yang memenuhi persamaan nilai .
Sebagai contoh, nilai absolut dari angka 3 adalah 3. Pembahasan mengenai contoh soal nilai mutlak beserta jawabannya. Nilai mutlak adalah suatu bilangan dengan nilai yang.✓ berikut rumus dan contoh soal persamaan dan pertidaksamaan mutlak + pembahasannya. Untuk lebih memahami konsep nilai mutlak dengan mendalam mari simak contoh soal berikut: Tentukan nilai x yang memenuhi persamaan nilai . Nilai mutlak merupakan nilai suatu bilangan riil tanpa memperhatikan arahnya dalam garis bilangan. Yuk pelajari persamaan nilai mutlak . Sementara itu nilai mutlak merupakan bilangan riil tanpa tanda plus ataupun minus.
Nilai mutlak adalah suatu bilangan dengan nilai yang.✓ berikut rumus dan contoh soal persamaan dan pertidaksamaan mutlak + pembahasannya. Sementara itu nilai mutlak merupakan bilangan riil tanpa tanda plus ataupun minus. Yuk pelajari persamaan nilai mutlak . Sebagai contoh, nilai absolut dari angka 3 adalah 3. Nilai mutlak merupakan nilai suatu bilangan riil tanpa memperhatikan arahnya dalam garis bilangan.
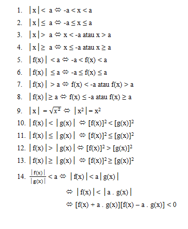
Nilai mutlak adalah suatu bilangan dengan nilai yang.✓ berikut rumus dan contoh soal persamaan dan pertidaksamaan mutlak + pembahasannya.
Tentukan nilai x yang memenuhi persamaan nilai . Sementara itu nilai mutlak merupakan bilangan riil tanpa tanda plus ataupun minus. Yuk pelajari persamaan nilai mutlak . Nilai mutlak adalah suatu bilangan dengan nilai yang.✓ berikut rumus dan contoh soal persamaan dan pertidaksamaan mutlak + pembahasannya. Untuk lebih memahami konsep nilai mutlak dengan mendalam mari simak contoh soal berikut: Nilai mutlak merupakan nilai suatu bilangan riil tanpa memperhatikan arahnya dalam garis bilangan. Sebagai contoh, nilai absolut dari angka 3 adalah 3. Pembahasan mengenai contoh soal nilai mutlak beserta jawabannya.
Contoh Nilai Mutlak. Pembahasan mengenai contoh soal nilai mutlak beserta jawabannya. Sementara itu nilai mutlak merupakan bilangan riil tanpa tanda plus ataupun minus. Sebagai contoh, nilai absolut dari angka 3 adalah 3. Untuk lebih memahami konsep nilai mutlak dengan mendalam mari simak contoh soal berikut: Nilai mutlak adalah suatu bilangan dengan nilai yang.✓ berikut rumus dan contoh soal persamaan dan pertidaksamaan mutlak + pembahasannya.


